Cambodia, Thailand Adopt Joint Statement, Reaffirm Commitment to Ceasefire
AKP Phnom Penh, December 27, 2025 --
The 3rd Special Cambodia-Thailand General Border Committee (GBC) Meeting concluded at 10:20 a.m. on Dec. 27 at the Prom-Pak Kard Permanent Border Checkpoint, located between Pailin province of Cambodia and Chanthaburi province of Thailand, under the observation of the ASEAN Observer Team (AOT) from the two countries.
According to H.E. Lt. Gen. Maly Socheata, Spokeswoman of the Ministry of National Defence, the meeting adopted and signed a Joint Statement, and reaffirmed both sides’ firm commitment to fully implement the ceasefire and seek peace, stability and security for the people living along the common border.
The meeting was co-chaired by H.E. Gen. Tea Seiha, Deputy Prime Minister and Minister of National Defence of the Kingdom of Cambodia, and H.E. Gen. Nattaphon Narkphanit, Minister of Defence of the Kingdom of Thailand.
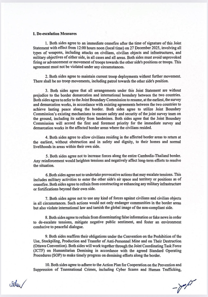
The full Joint Statement reads as follows:











